直流电机PID调速控制
实验题目:直流电机PID调速控制
课程简要信息
课程名称:机电控制工程基础
课程学时:48
项目学时:课内6学时、课外0学时
适用专业:机械电子工程
学生年级:大三年级第1学期
实验内容与任务
实验案例是以工程测控实验室LabACT实验箱过程控制系统中的直流电机PID调速控制为工程背景,引出直流电机动态响应曲线,即比例(P)、积分(I)和微分(D)控制下,对电机的响应曲线如何动态变化。
-
数学模型辨识与建立:以实际电机、功率放大器、传感器等组成速度控制随动系统为对象,用 LabACT 实验箱测定和辨识数学模型,可用两惯性环节串联近似,通过阶跃输入实验得相关参数构建模型。
-
采样周期确定:根据采样周期与被控对象时间常数关系,选定采样周期 T 为 4mS,为后续良好的 PID 调节奠定基础。
-
PID 控制参数整定:运用开环整定法中的反应曲线法,根据已得对象参数,算出数字 PID 调节器控制参数 Kp、Ti、Td 。
-
MATLAB 仿真:将比例系数 Kp、积分常数 Ti、微分常数 Td 及被控对象传递函数 Go (S) 填入 MATLAB 仿真原理方框图,设置各模块参数,包括限幅模块、采样时间等,输入对应转速值,模拟被控过程并获取响应曲线。
-
LabACT 实验箱开展闭环调速实验。
实验过程及要求

-
需求分析:教师明确构建直流电机PID调速控制并闭环调速的目的,把握电机转速控制精度、响应时间等性能要求。
-
分组实操:3-5人为一组,各司其职,分工合作,在理解实验原理的基础上进行实验,出现错误先自我解决,无果后教师及时纠正,继续实验。
-
思考讨论:实验全程参与小组讨论,思考各环节原理与改进方向,探讨模型辨识合理性及 PID 参数对系统性能的影响。
-
方法设计:依实验要求设计方法,确定阶跃输入实验电压幅值、时长,规划模拟与实际对象闭环调速实验的电路连接及参数设置。
-
软件仿真:熟练用 MATLAB,精准设置比例、积分、微分常数等参数搭建模型,分析响应曲线,为实际实验提供参照。
-
平台构建:基于 LabACT 实验箱正确连接模块,构建稳定平台,确保电路连接无误、设备正常工作。
-
数据测试:准确测记数据,多次测量取平均值,保障数据真实可靠。
-
验收答辩:熟悉实验内容与结果,清晰回答问题,阐述实验过程、问题及解决方法,展示成果。
相关知识及背景
在直流电机PID调速控制实验中,知识方法涵盖自动控制原理、电路原理等。实践技能要求学生能熟练操作 LabACT 实验箱与 MATLAB 软件,进行电路搭建与参数设置。应用背景聚焦于工业自动化中的电机调速场景。通过实验可助力学生掌握相关知识技能,解决实际工程中的速度控制问题 。
实验环境条件
- 硬件设备:
LabACT 实验箱:核心实验装置,具备丰富接口与模块,可搭建模拟电路用于速度控制随动系统对象数学模型的测定与辨识,实现信号输入、处理及电机驱动控制,支撑数字 PID 实验被控过程。
示波器:精确观察模拟及实际对象的响应曲线,直观展现电压、转速等信号变化,辅助分析系统性能。
万用表:用于测量电路中的各类电压参数,确保实验中各工作点电压符合要求,如在调整 F/V 转换静态工作点时发挥关键作用。
- 软件工具:
MATLAB 软件:用于搭建数字 PID 仿真模型,通过设置比例、积分、微分常数等参数,模拟被控过程并分析响应曲线,为实际实验提供理论参考与对比依据,助力理解数字 PID 控制算法及参数对系统性能的影响。
LabACT虚拟示波软件:能够配合LabACT 实验箱使用,更精确的打出相关实验波形。
教学目标与目的
-
通过学习通线上平台查看相关资料完成预习工作。
-
能够使用MATLAB仿真软件正确完成课内验证性实验。
-
利用学习通网络平台讨论区提出可能在实操阶段遇到的问题,分析与解决。
-
能够掌握分析PID各参数在控制系统的作用。
-
能够掌握PID数字算法。
-
能够在完成基础实验后拓展应用。
-
能够达成团队合作,良好的分组竞争。
-
发扬大国工匠精神,创新精神。
教学设计与实施进程

-
通过对系统方框图的学习,了解速度闭环控制系统的逻辑,用目标图像和实际波形图像作为正确与否的比对,锻炼学生的自主能力。
-
通过形象生动地比喻:PID调参就像 “治病救人”一样:P: 即有病症,药量病情正比;I:久病无效,持续加大用药;D: 病情突变,短时间下猛药。方便学生更加深刻理解掌握。
-
经济基础决定上层建筑,通过知识目标、能力目标和素质目标来提升学生和教师的相关能力。
-
教师在课前将把实验相关资料上传到学习通网络平台,以备学生完成预习工作,对于学生提出的疑问在学习通讨论区及时回复。同时,在试验前,教师将严格检查实验室环境和设备是否完好,能否完成本次实验。
-
学生先利用MATLAB仿真软件进行验证性实验,教师从电路图的解释到系统方框图的转换以及仿真软件的使用等方面做出讲解,最后能够引导学生完成此项工作。
-
学生在明白原理和仿真基础上,开始按分组使用LABACT实验箱进行实操。在学生进行硬件搭建时,提醒学生注意电路连接的准确性和规范性,避免虚接、短路等问题。在调试过程中,强调工作电源和参考电源品质对系统性能的影响,如电源纹波过大可能导致电机转速不稳定、信号测量不准确等。引导学生关注电路工作的稳定性与可靠性,及时排查和解决硬件故障。
-
在实操过程中出现问题教师及时解决保证实验的连续性。引导学生分析误差来源,如传感器精度误差、电路噪声干扰、控制算法近似误差等,并通过实验验证这些误差对系统性能的影响。
-
记录数据,撰写报告,分析报告,讲解报告,学生展示,教师点评。
-
无纸化实验报告,学生完成报告撰写后,上传学习通,教师在学习通完成批阅工作。学生对整个实验过程进行总结和反思,梳理自己在知识掌握、技能应用、问题解决等方面的收获和不足。鼓励学生思考如何进一步改进设计,提高系统性能,培养学生的创新思维和工程实践能力。
实验原理及方案

- PID控制
按偏差的比例、积分、微分控制(简称 PID 控制)是过程控制中应用最广的一种控制规则。由 PID 控制规则构成的 PID 调节器是一种线性调节器。这种调节器是将设定值 U 与实际输出值 Y 构成控制偏差:e=U—Y
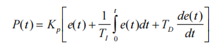
按比例(P)、积分(I)、微分(D)通过线性组合构成控制量。PID 控制算法的模拟表达式是:
式中,p(t)——调节器的输出信号;e(t) ——调节器的偏差信号;KP ——调节器的比例系数;TI——调节器的积分时间常数;TD ——调节器的微分时间常数;
在实际应用中,根据对象特征和控制要求,也可灵活改变其结构,取其一部分构成控制,例如:比例(P)调节器、比例积分(PI)调节器、比例微分调节器(PD)等。
- PID 算法的数字实现
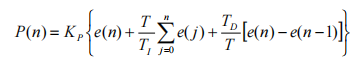
用数字形式的差分方程来代替连续系统的微分方程:
式中:T —采样周期;P(n) —第 n 次采样时计算机输出;e(n) —第 n 次采样时的偏差值;e(n −1) —第 n-1 次采样时的偏差值; n ——采样序号,n=0,1,2,…。
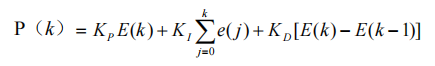
离散化的 PID 控制算式表达式为:
式中:
——积分系数;
——微分系数。
- 数字 PID 调节器控制参数的修正
⑴ 比例控制 Kp 对系统性能的影响
①对稳态特性的影响
增大比例调节的增益 Kp,如系统是稳定的,则可减小系统稳态误差。
②对动态特性的影响
增大比例调节的增益 Kp 使系统的响应速度加快;Kp 偏大,振荡次数加多,系统的稳定性下降,调节时间增大;Kp 太大,系统将不稳定。
⑵ 积分控制(积分系数 Ki)对系统性能的影响
①对稳态特性的影响
在积分控制中,调节器的输出会不断地随时间积分而增大,只有当误差为零时,调节器才会停止积分。此时调节器的输出就会维持在一个数值上不变,这说明积分调节是一个无差调节。这就意味着,当被控系统在负载扰动下的调节过程结束后,系统的静差已不存在,调节阀停留在新的开度上不变。
增大积分控制 Ki,提高系统的稳态控制精度,Ki 太大,系统将不稳定。
②对动态特性的影响
采用积分调节时,增大积分控制(积分系数 Ki),会加强动态积分效果,但是,系统的动态开环增益增大,会使系统的稳定性降低。这从直观上也不难理解,因为增大积分控制 Ki,就相应增大了同一时刻的调节器输出控制力度。使调节阀的动作加快,动作幅度增大,这势必容易引起和加剧系统振荡。
从频率特性的角度看,积分的加入使系统的相频特性增加了 90°的相位滞后,因而使系统的动态品质变差。无论从哪一个角度分析,积分调节都是牺牲了动态品质来换取稳态性能的改善的。
将积分调节和比例调节二者结合起来,组成所谓的 PI 控制。在起始阶段,比例发挥作用,迅速反应输入的变化。之后积分也发挥作用,两者共同作用,达到最终消除静差的目的。因此,PI 将比例的快速反应与积分的消除静差功能结合起来,收到比较好的控制效果。但是,毕竟 PI 调节总体上给系统还是增加了一些相位滞后,因此,与 P 调节相比 PI 调节的稳定效果还是要差一些。此外,积分调节器还有一个重要缺点,即积分饱和现象。这是因为,只要偏差不为零,调节器就会不停的积分使输出增加(或减少)。如果由于某种原因误差一时消除不了,调节器就要不断的积分下去,直到调节器输出进入深度饱和,致使调节器失去调节作用,这在工程是很危险的。因此。采用积分规律的调节器一定防止积分饱和现象的发生。至于如何防止或消除积分饱和现象,请参阅有关文献资料,限于篇幅这里就不多叙了。
⑶ 微分控制(微分系数 Kd)对系统性能的影响
比例和积分调节都是根据系统被调量的偏差值进行调节的,这种“等事态发生了才去处理”的控制策略并不是完善的控制策略。完善的控制策略应该具备预测事态的变化趋势,并加以预防的功能,微分调节就是如此。微分调节的控制输出与当前系统被调量偏差的变化速率成正比。由于变化速率(包括大小和方向)可以反应当前及稍后一段时间系统被调量的变化趋势,因此,微分调节并不是等被调量已经出现较大偏差之后才动作,而是提前动作。这相当于赋予了调节器以某种程度的“预见性”,这对于防止系统被调量出现较大动态偏差是有利的。微分调节作用可以克服积分调节作用缓慢性,避免积分作用可能降低系统响应速度的缺点。另外,微分调节的加入有助于减小超调、克服振荡,改善系统的动态性能。
实验报告要求
-
需求分析:清晰阐述实验目的,深入剖析对直流电动机速度闭环控制随动系统在转速控制精度、响应时间等方面的性能需求,明确实验核心要点。
-
实现方案论证:针对实验目的,提出多种可能的实现方案,并从技术可行性、经济成本、操作难易程度等角度进行对比分析,详细论证最终采用方案的合理性与优势。
-
理论推导计算:依据自动控制原理等相关知识,对连续控制系统的 PID 控制算法的模拟表达式(微分方程)进行推导,结合速度控制随动系统对象的数学模型,进行必要的参数计算,如传递函数中的各项参数,为实验提供理论支撑。
-
电路设计与参数选择:展示直流电动机速度闭环控制系统的电路设计图,详细说明各部分电路的功能与连接方式。阐述主要电子元器件(如电机、功率放大器、传感器等)的选型依据,以及电路中关键参数(如电阻、电容值等)的计算或选择方法。
-
电路测试方法:描述实验中对电路进行测试的具体步骤与方法,包括使用示波器、万用表等仪器设备对电路中不同节点的电压、电流等参数进行测量的操作流程,以及如何判断电路工作是否正常的依据。
-
实验数据记录:以规范的表格形式记录实验过程中获取的各类数据,如不同 PID 参数下的电机转速、响应时间,模拟及实际对象的输出电压等,确保数据记录的完整性与准确性。
-
数据处理分析:运用合适的数据处理方法(如平均值计算、误差分析等)对记录的数据进行处理,绘制数据图表(如折线图、柱状图等)直观展示数据变化趋势,深入分析 PID 参数对系统性能(如稳定性、准确性、快速性)的影响规律。
-
实验结果总结:总结实验最终达成的结果,对比实验目标,判断是否成功实现对直流电动机速度的闭环控制,分析实验过程中存在的问题与不足,提出改进措施与建议,同时对实验所涉及知识与技能的掌握情况进行自我评估。
考核要求与方法
考核主要分为三大部分,包括线上预习、过程性考核、结果性考核。对于利用学习通搭建的线上网络平台,主要锻炼学生的自学能力,占比10%;重点关注的是在整个实验过程中,学生对于专业知识的应用能力,学生应该学会使用专业仿真工具MATLAB进行课程验证性实验,打出正确的波形,从3-5人分组的实操中检验学生综合应用情况,如果在此过程中学生团队能够做出一定量的创新,那就是意外的收获;在完成实验的相关操作后,学生团队将根据测量记录数据,而数据的可靠性又是检验学生计算能力的一大关卡,在获得正确数据后,团队开始撰写实验报告并进行互评,将邀请优秀组进行展示,增强沟通能力和表达能力。
项目特色或创新
-
实验要求层次递进,与实际工程深度融合。对直流电机PID控制系统掌握后,可结合工程实际拓展相关控制系统。
-
实验全过程贯穿OBE理念,引入课程思政“工匠精神”引领学生建立工程思维,深刻体会大国工匠的精神价值。
-
学生在有一定专业知识和动手能力后,参加各类专业学科竞赛,学以致用。
-
教师在该领域要坚持深耕,申报相关项目,产出相关成果,给学生做好表率。
支撑材料1:教学大纲
《机电控制工程基础》教学大纲
一、基本信息
| 中文名称 | 机电控制工程基础 | |
|---|---|---|
| 课 程 号 | 210132 | |
| 课程性质 | 专业必修课 | |
| 学 分 | 2 | |
| 总 学 时 | 32 | |
| 课内实践学时 | 6 | |
| 适用专业 | 机械电子工程 | |
| 先修课程 | 《高等数学B》《电路原理》《模拟电子技术》《数字电子技术》《汽车电工电子技术》《传感器与自动检测技术》 | |
| 大纲执笔人: | ||
大纲审批: 课程负责人:教研室主任 学院教授委员会主任:单位负责人 时间: 2023年10月 |
||
二、课程简介
1.课程的主要内容:本课程是机械设计制造及自动化、机械电子工程等机械类专业和相关专业的专业必修课。通过本课程的学习将为学习自动控制方面的其它课程奠定良好的理论基础。通过本课程的学习,培养学生具有分析、综合电气自动化、仪表自动化及工业自动化控制设备中自控系统的能力。
2.教学目的与要求:通过本课程的学习,要求学生掌握自动控制的基本原理和基本分析方法,并能应用基本原理对典型的控制系统进行分析与综合。课程教学所要达到的目的:使学生正确理解和掌握本课程所涉及的基本概念、基本理论和基本分析方法。能独立地应用这些基本理论、基本方法来分析实际工程中提炼出来的各种控制理论问题;同时强化动态的、系统的思想方法。并使学生具有一定的工程计算和设计能力。
三、课程目标
课程目标1:了解自动控制理论的发展历史,掌握自动控制系统分析和设计的基本理论;
课程目标2:学习连续系统的分析和研究方法;
课程目标3:掌握运用控制原理解决各类控制领域问题的初步知识技能;
课程目标4:培养学生的自学能力;
课程目标5:培养学生的实操能力;
课程目标6:培养学生的辩证思维能力;
课程目标7:树立民族文化自信和专业自信,培养学生的学习热情;
课程目标8:在实践中感受科学精神,工匠精神,创新精神,探索精神;
课程目标9:激励学生汲取中华民族的文化精髓。
四、本课程所支撑的毕业要求
| 序号 | 毕业要求指标点 | 毕业要求指标点具体内容 | 课程目标 |
|---|---|---|---|
| 1 | 1 | 相关知识:掌握从事信息、控制、感知等工程技术所需的数学、物理等自然科学、工程基础和专业知识,并能够用于解决复杂工程问题。 | 1、2、3、5、6、7、8、9 |
| 2 | 2 | 问题分析:能够应用数学、物理等自然科学和工程科学基础理论知识,识别、表达、并通过文献研究分析机器人及智能控制系统开发、工业机器人系统集成应用问题,并通过文献研究分析, 以获得有效结论 | 1、2、4、5、8 |
| 3 | 3 | 设计/开发解决方案:能够设计机器人工程、智能制造领域的复杂工程问题的解决方案,设计满足智能感知、 机器视觉、伺服运动控制、导航与规划、智能控制等需求的系统、单元(部件)或工艺流 程,并能够在设计环节中体现创新创业意识,考虑社会、健康、安全、法律、文化以及环境等因素。 | 2、3、4、5、7、8、9 |
| 4 | 6 | 专业(工程)与社会:能够基于机器人工程相关背景知识进行合理分析,评价机器人专业工程实践和智能制造 领域的复杂工程问题解决方案对社会、健康、安全、法律以及文化的影响,并理解应承担的责任。 | 1、2、5、6、7、8、9 |
支撑材料2:开课过程






支撑材料3:教学效果
1、
PID应用拓展,学生感兴趣,作品丰富




2、入选省级本科高校创新性实验项目

3、发表学术论文
4、学生优秀作品参赛获奖







——积分系数;
——微分系数。