A+D Lab平台上二极管温度传感器实验
课程名称:电子线路综合设计
实验题目:A+D Lab平台上二极管温度传感器实验
课程简要信息
课程名称:电子线路综合设计 课程学时:48 学生年级:本科二年级
适用专业:测控技术与仪器、电子科学与技术、生物医学工程、光学工程
实验内容与任务
实验内容:以1N4148二极管做温度传感器,在A+D Lab平台上实现温度测量。
晶体二极管或三极管的PN结的结电压是随温度变化而改变的,如硅管的PN结的结电压在温度每升高1℃时,下降约2mV。利用PN 结的这种温度特性,可以直接用二极管(如1N4148)或三极管(集电极c和基极b短接,如9013)做成PN结温度传感器。这种传感器与金属电阻、热敏电阻相比,具有灵敏度高、线性好、体积小、时间常数小等优点。
测温电路构成:二极管1N4148、测量电桥、微信号放大电路(信号调理)与3位半数字电压表DVM或A/D转换、单片机接口电路(温度显示)。
主要技术要求:
-
测量温度范围:0℃~+100℃;
-
测量误差:≤1%;
-
输出信号:0~1000mV(DVM显示)及0~5V(单片机数码管显示)。
实验过程及要求
-
实验前做好预习,完成实验预分析报告。通过预习了解温度测量及PN结作为温度传感器的工作原理及其工程应用背景;
-
根据传感器特点设计信号调理和放大电路,注意放大电路的输入阻抗和增益,确定温度显示方法和实现电路;
-
理论计算确定元器件参数,用Multisim完成软件仿真,在仿真的基础上优化信号采集调理及放大电路的设计;
-
在A+D Lab平台上搭建实验电路,记录实验中出现的问题和解决方法,对实验电路拍照,记录保存虚拟示波器的实验波形,添加实验说明后与最终的实验报告一同上传;
-
实验报告中明确职责和分工,包括与理论计算和软件仿真对比,分析误差形成的原因。通过分组答辩,学习交流不同的实现方案。教师综合考虑实验过程、实验结果、实验报告和课上答辩给出本次实验成绩。
相关知识及背景
温度与人们日常的生产和生活密切相关,是仪器科学和各类工程设计中必须精确测定的重要物理量。二极管温度传感器测量是一个运用数字和模拟电子技术解决现实生活和工程实际问题的综合性案例,涉及了传感器及检测技术、非平衡直流电桥、差动放大电路、模数信号转换、单片机接口和数据显示等相关知识和技术方法。
教学目标与目的
通过二极管温度传感器实验让学生了解测量电路的设计方法,掌握电桥在微弱信号变化检测、运算放大器在信号处理中的应用;培养学生综合应用所学知识来指导实践的能力,提高分析电路设计和解决问题的能力;进一步熟悉A+D Lab平台各种虚拟电子仪器的使用。
教学设计与引导
-
实验平台:实验采用翻转课堂式实验教学,实验平台基于“雨课堂”和A+D
Lab。雨课堂是基于PowerPoint的一个插件,它将信息技术手段融入到PowerPoint和微信中,通过连接教师与学生的智能终端(手机、平板电脑和笔记本等),为课上教学和课下实验之间建立起了沟通桥梁。A+D
Lab硬件平台是发给学生的书包实验室(如图1所示),它包括了双踪示波器、信号源和稳压电源等常用虚拟仪器和面包板模块。“雨课堂”为师生互动提供了一个永不下线的软件平台,A+D
Lab为实验教学提供了基于PC端、便携设备上的软件环境和学生完成实验所需的硬件平台,其优势在于对整个实验过程的精准管理。 -
二极管温度传感器:温度是表征物体冷热程度的物理量,一般只能通过物体随温度变化的某些特征来间接测量。温度传感器就是将温度信号转换成易于传递和处理的电信号的器件,在日常生活、工业生产以及研究领域都有着广泛的应用。二极管具有单向导通特性,通常用作整流控制电流流向等,但二极管也可用作温度传感器,且具有灵敏度高、线性好、热电效应快和体积小等优点,尤其是在温度数字化、温度控制及用微机进行温度实时信号处理与控制等方面,是其它温度传感器所不能相比的。 -
教师在课上布置实验任务,讲解实验原理和方案,学生课下在A+D Lab上完成实验。教师在课上可做定性演示,在面包板上搭建一个简单电路,用数字万用表测量二极管的正向降压。用加热电烙铁贴近二极管,二极管的管压降快速下降,电烙铁离开后又逐渐恢复到原来的数值;用一小块冰冻的食物放在二极管上,管压降会增加,取走后管压降渐恢复到原来的数值。
-
二极管PN结的结压降会随温度变化而变化(实验原理中已有说明);PN结的反向漏电流与节点的温度亦有近似的线性关系(如图2所示)。根据两种原理都可以用二极管实现对温度的测量。
-
温度标定方法:将二极管温度传感器插入冰水混合物瓶中,以此作0℃装置,调节电位器,使DVM或数码管显示0;再将二极管温度传感器插入沸水中(设沸水为100℃),调整电位器,使数字电压表DVM或数码管显示100。
-
实验完成后,课上组织学生以项目演讲、答辩、评讲的形式进行交流,了解不同解决方案及其特点,拓宽知识面。
实验原理及方案
- 二极管温度传感器原理:采用不同的掺杂工艺,通过扩散作用,将P型半导体与N型半导体制作在同一块半导体基片上,在它们的交界面形成的空间电荷区称为PN结。PN结具有单向导电性,二极管就是基于PN结的单向导通原理工作的。在PN结上加上引线和封装,就构成了一个二极管(如图3所示)。

图3 PN结及二极管
PN结的正向电流
和压降
存在如下近似关系
(1)
式中
为电子电荷、
为玻尔兹曼常数、
为绝对温度、
为反向饱和电流
(2)
其中
与结面积、掺杂浓度等有关的常数,
也是常数,
为绝对零度时PN结材料的导带底和价带顶的电势差。将式(2)代入式(1),两边取对数有
(3)
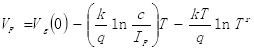
式(3)是PN结正向压降与电流和温度的函数表达式,它是PN结温度传感器的基本方程。当
保持不变时,正向压降只随温度变化而改变。式(3)中,
除线性项
外还包含非线性项
。在恒流供电条件下,PN结的
对
的依赖关系主要取决于线性项
,非线性项忽略不计,所以正向压降几乎随温度升高而线性下降。以上这就是用PN结测量温度的基本原理。
- 实验中可以直接采用二极管(如1N4148)或将硅三极管(如9013)的集电极c与基级b短接构成PN结温度传感器,如商品化的二极管专用温度传感器MTS102就是将硅NPN三极管的基级b和集电极c短接而成的。基于二极管传感器测量温度的系统结构如图4所示。硅管PN结的结电压在温度每升高1℃时,下降约2mV左右,这种微量电压变化输出很少能够直接满足ADC输入电压的需要,如果ADC的输入范围不能充分利用,将损失测量精度。实验的主要工作就是适应数字电压表DVM或ADC输入电压范围的要求,设计实现信号的提取和放大,并转换成为便于显示、记录、处理和控制的有用电信号,即图中的测量电路部分。
图4 二极管测温系统结构图
- 硅二极管PN结的典型压降为0.7V左右,对mv级的电压变化测量若直接用运算放大器进行放大,运算放大器很快就会达到增益饱和。因此测量电路拟采用非平衡单臂电桥+差动放大电路的结构。二极管作为测量电桥的一个臂,而差分输入电路可有效地抑制共模干扰电压的影响。参考电路设计如图5所示:
图5 二极管测温电路
图中电阻R1,R2,二极管D,电位器W1组成测温电桥,其输出信号接差动放大器A1,经放大后的信号输入数字式电压表(DVM)或经A/D转换送入单片机驱动数码管显示。运算放大器A2接成电压跟随器,与电位器W2配合可调节放大器A1的增益。注意:通过二极管PN结温度传感器的工作电流不宜过大(100—300mA),以免二极管自身的温升影响了测量精度。
教学实施进程
教学实施进程如图6所示。A+D Lab平台上的实验基于云架构,通过将实验数据在云中构建高扩展性和高可靠性的交互分析平台,实现了实验数据和学生动手行为有效的结合,这些资源有助于教师了解学生在实验中的过程和实验结果。通过大数据和人工智能技术实现有效的教学辅助和学生特长的提取,从而提供基于量化的定制个性教学。

图6 基于云架构的教学实施进程
-
教师通过微信扫码登录A+D Lab,进入教师管理入口(如图7所示),在实验项目管理界面选择课程和班级,并根据课程进度发布实验内容,包括实验名称、实验目标、实验要求、给学生的建议和预习资料等,预览无误后发布给学生;
-
发布成功后,学生即可收到新的实验任务,开始预习。在预习过程中,学生可以通过微信雨课堂客户端与教师就预习中存在的疑问和想法进行线上交流;
-
课上包括两个教学环节。首先对上一个实验的完成情况进行总结,并组织学生就实验中遇到的问题进行讨论;接下来讲解本次实验的教学内容,包括实验目的、基本原理、实验中的注意事项等。学生自行安排课外时间完成本次实验;
-
学生通过微信扫码登录A+D Lab,进入学生实验入口(如图8所示),首先通过软件完成仿真,截取仿真电路图和仿真结果,在A+D Lab平台上搭建电路实验,对实验电路拍照,同时保存示波器虚拟仪器面板的实验波形,并添加实验说明,与实验报告一同上传;
-
教师随时可查看实验进度和完成情况。通过手机和网页接收实验报告,结合虚拟仿真结果和拍照的实验电路,给出本次实验的最终成绩并提交。学生可以在手机端查看本次实验成绩。


图7 教师登录界面 图8 学生登录界面
实验报告要求
-
实验报告要求每人独立完成,两人合作完成的实验要写出合作者姓名,并注明本人在实验中负责完成的工作。
-
实验报告中应包括以下内容:实验名称、实验目的、实验设备和器件、实验原理、公式推导过程、电路设计与参数选择、软件仿真结果、实验步骤、记录的数据(波形)、与理论计算和软件仿真的对比、分析误差产生的原因、电路调试过程中出现的问题及解决办法、实验结果分析、改进意见及收获,以及实验心得体会等。
考核要求与方法
自系统平台发布本次实验后,规定学生一周内完成实验,并按时提交实验过程中的仿真(电路及波形)、实物电路(照片及波形)及实验报告。
成绩评定包括以下几部分:
-
实物验收(根据照片),包括元器件、仪器连接的整洁性,电路调试过程的合理性和测温效果等;
-
实验报告部分,包含预分析报告、实验电路的软件仿真、实验结果记录、误差分析及实验报告的规范性和完整性等;
-
对于实验过程中有创新思想设计的同学给予适当加分。
项目特色或创新
-
温度与人们日常的生产生活密切相关,也是仪器科学和各类工程设计中必须精确测定的重要物理量;
-
作为一个综合性设计型实验,系统地将非电信号量测量涉及的传感技术、直流电桥、差动放大电路和显示等相关知识点结合在一起;
-
实验平台A+D Lab将“互联网+”、云存储和微信等引入实践教学环节,解决了困扰实验教学中存在的实验课时少、实验室开放时间短和师生互动有限的问题。
参赛选手信息表
| 案例提供单位 | 天津大学 | 相关专业 | 测控技术与仪器;电子科学与技术;生物医学工程; 光学工程 | |||
|---|---|---|---|---|---|---|
| 设计者姓名 | 许宝忠 | 电子邮箱 | xubz@tju.edu.cn | |||
| 移动电话 | 13820410187 | 通讯地址 (含邮编) |
天津大学精仪学院300072 | |||
| 设计者姓名 | 蒋学慧 | 电子邮箱 | jiangxuehui82@163.com | |||
| 移动电话 | 13821213438 | 通讯地址 (含邮编) |
天津大学精仪学院 300072 | |||
| 设计者姓名 | 刘鸣 | 电子邮箱 | liuming@tju.edu.cn | |||
| 移动电话 | 13652160356 | 通讯地址 (含邮编) |
天津大学精仪学院 300072 | |||
| 相关x课程名称 | 电子线路综合设计 | 学生年级 | 2年级 | 学时(课内+课外) | 48 | |
支撑 条件 |
仪器设备 | 计算机、A+D Lab、普中单片机开发仪、手机 | ||||
| 软件工具 | Powerpoint(带雨课堂插件);Multisim12;微信 | |||||
| 主要器件 | 1N4148、9013、LM358、DVM、电阻(电位器)、电容、连接线若干 | |||||
和压降
存在如下近似关系
(1)
为电子电荷、
为玻尔兹曼常数、
为绝对温度、
为反向饱和电流
(2)
与结面积、掺杂浓度等有关的常数,
也是常数,
为绝对零度时PN结材料的导带底和价带顶的电势差。将式(2)代入式(1),两边取对数有
(3)
外还包含非线性项
。在恒流供电条件下,PN结的
