无损均匀传输线的链形电路实物仿真
实验题目:无损均匀传输线的链形电路实物仿真
1. 课程简要信息
课程名称:电路实验
课程学时:课内 2/课外 1
适用专业:电气工程、自动化专业
学生年级:大二/春季
2. 实验内容与任务(限 500 字,可与“实验过程及要求”合并)
实验内容:
- 利用集中参数链形电路模拟任意长度的无损均匀传输线;
- 研究无损传输线的终端匹配无反射现象;
- 研究无损线终端开路、短路以及接纯电抗负载时的驻波性质;
- 利用所搭建的集中参数二端口网络研究链形仿真线电路传输特性。
实验任务:
(1) 基本任务
- 设计可测量沿线电压电流的链形等效电路,模拟任意小于等于 $\lambda / 2$ 的无损均匀传输线;
- 确定激励的频率和幅值,研究终端匹配、开路、短路时沿线电压电流分布规律;
- 测量无损传输线链形等效电路的传输参数,确定其对称二端口性质,研究仿真线电路传输特性。
(2) 提高部分
1)延长无损传输线设计:设计终端所接电抗值,使中间节点至终端模拟延长至传输线,测量 $\lambda / 4$ 处的电压电流(波节或波腹);
2)终端接电抗负载形成驻波分析:研究终端接任意纯电抗负载时,沿线电压电流正向行波与反向行波叠加而成的驻波现象分析;
3)利用 $\lambda / 4$ 无损线实现阻抗变换设计:计算激励频率,调节信号源,使链形电路等效模拟 $\lambda / 2$ 无损传输线,验证位于中间点 $\lambda / 4$ 无损线所具有的阻抗变换特性(即$Z _ { \mathrm { i } } = Z _ { \mathrm { c } } ^ { 2 } / Z _ { L } \ )$ );同时可计算模拟的传输线路总长。
3. 实验过程及要求(限 300 字)
(1) 课前预习
1) 观摩实验操作视频,掌握实验室提供的相关仪器、设备使用方法
2) 理解无损传输线、驻波相关理论知识
3) 掌握模拟任意长无损传输线理论、方法,会计算激励的频率
4) 熟练应用 Multisim 或 PSpice,仿真测量终端匹配、开路、短路时,无损线电压、电流波形
(2) 课上实践
1) 根据预习选择合适的元器件搭建自行设计的电路
2) 选择仪器及合适的测量方法,按照步骤测量并记录所需数据
3) 分析测量值与仿真值及理论值之间误差原因;如误差过大,分析设计电路实际
测量是否可行或仿真参数设置是否合理
4) 设计思考题并引导学生扩展提高
(3) 课后总结
1) 对实验中出现的问题进行归纳总结
2) 对实验结果进行计算与分析,提交实验报告
3) 线上线下师生互动,答疑提升
4. 相关知识及背景(限 150 字)
随着电力及有线载波通信技术发展,对分布参数电路的研究既有高度又有难度,具有重要意义。本项目采用链形等效电路模拟无损传输线的电气特性。
相关知识涉及均匀传输线的集中参数等效电路设计;终端匹配引起的无反射传输现象;终端开路、短路和接纯电抗情况下的驻波形成;1/4 波长无损线阻抗变换及二端口等相关知识。
5. 教学目标与目的(限 100 字)
目的:培养学生工程实践能力和创新精神目标:1)熟练设计无损线的集中参数等效电路2) 掌握无损线的驻波性质和二端口传输特性3) 引导学生自拟目标设计电路并选择元器件参数4) 掌握 Multisim PSpice 、 等电路仿真软件的使用方法
6. 教学设计与引导
以学生为主体,教师主导的实验教学设计如图 6-1 所示。
(1) 课前预习引导
1) 下达任务 发布公告雨课堂发布预习公告,布置实验内容,下达实验任务。
2) MOOC 视频 理论介绍MOOC 视频提供相关内容讲解,如正弦激励无损线、驻波、二端口等理论知识。
3) 仪器实操 上传资料
SPOC 中上传参考资料,提供仪器设备操作规范及仿真学习微课和文档等,引导学生自主设计基本电路模型并进行仿真实验。

图 6-1 实验教学设计
预习要求及检查:
要求在预习报告中绘制出所设计的基本实验电路(标注元器件参数)和仿真波形,简述工作原理,经老师检查后,进入实验室操作。
(2) 课堂实时指导
1)边做边想 积极思考
同学们在充分预习的基础上已经具备了搭建基本电路并进行数据测量的能力,课堂上可以直接进行动手操作,对比仿真结果。老师根据每组(每位)实验操作情况,有针对性地提出新要求,引导学生拓展思维,积极思考。
2)一组一案 分类指导
关注实验过程中出现的共性问题,适时集体指导的同时,鉴于每组(每位)学生的具体实验情况,根据需要进行个别的指导。因材施教,提高同学发现问题、思考问题与解决问题的能力。
3)生讲生评 师点技巧
对于易犯的低级错误可以由同学自行解决,或者在与他人讨论中解决;对于实验基础和提高部分做的都特别好的两组给予适当加分,以调动学生实践创新的积极性。但首先要讲给大家听,由同学们给出评价,老师只是点评实验技巧。
实验验收重点:
(a) 是否成功搭建了所设计的模拟电路
(b) 链形仿真实物电路各关键节点的电压、电流测量数据是否完整,是否符合应有
变化规律
(c) 是否完成基础实验部分,是否有一定的扩展提高
(3) 课后答疑辅导
1)互问互答 全班参考
课内实验学时结束后,针对还有的问题或课后想到的疑惑,老师鼓励学生在班级群或 SPOC 中提出,会的同学就给予解答,激励同学们互问互答,全班同学都可以参考,以扩展知识面。由此班级群成为一个积极向上的学习讨论群。
2)整理数据 提交报告
根据实测数据进行整理计算,按照报告规范一周后以班级为单位提交至实验室。
3)总结经验 促进提高
老师对实验中出现的问题进行整理,在教学网站上传常见问题解答;与学生及时交流,雨课堂发放调查问卷,获取反馈信息进行改进,以待后续提高。
7. 实验原理及方案
本项目依据的实验基本原理和所设计的实验方案如图 7-1 所示。

图 7-1 实验原理和实验方案导图
7.1 实验原理
(1) 无损线方程和驻波
如图 7-2(a)所示无损均匀传输线具有分布参数特征。其微段等效电路如图(b)所示。

图7-2 均匀传输线及其微段等效电路
沿线距离终端 $x ^ { \prime }$ 处电压、电流相量表达式为
$$ \left. \begin{array} { r } { \dot { U } ( x ^ { \prime } ) = \dot { U } _ { 2 } \cos \beta x ^ { \prime } + \mathrm { j } \dot { I } _ { 2 } Z _ { \mathrm { c } } \sin \beta x ^ { \prime } } \ { \dot { I } ( x ^ { \prime } ) = \mathrm { j } \displaystyle \frac { \dot { U } _ { 2 } } { Z _ { \mathrm { c } } } \sin \beta x ^ { \prime } + \dot { I } _ { 2 } \cos \beta x ^ { \prime } } \end{array} \right} $$
此时传输线的传播常数 $\beta = \mathrm { j } \omega \sqrt { L _ { 0 } C _ { 0 } }$ ,波阻抗 ${ Z _ { \mathrm { c } } } \mathrm { { = } } \sqrt { { L _ { \mathrm { 0 } } } / { C _ { \mathrm { 0 } } } }$ 为常数,衰减系数 $\alpha = 0$ 。当无损传输线终端接负载阻抗 $Z _ { \mathrm { L } }$ 时,从 $x ^ { \prime }$ 处向终端视入的阻抗可表达为
$$ Z _ { \mathrm { i } } ( x ^ { \prime } ) = \frac { \dot { U } ( x ^ { \prime } ) } { \dot { I } ( x ^ { \prime } ) } = Z _ { \mathrm { c } } \frac { Z _ { \mathrm { L } } \cos \beta x ^ { \prime } + \mathrm { j } Z _ { \mathrm { c } } \sin \beta x ^ { \prime } } { \mathrm { j } Z _ { \mathrm { L } } \sin \beta x ^ { \prime } + Z _ { \mathrm { c } } \cos \beta x ^ { \prime } } $$
根据驻波形成的两个条件:
$\textcircled{1}$ 行波沿线传输没有衰减,即衰减系数 $\alpha = 0$
$\textcircled{2}$ 反射波幅度与入射波幅度相等,即终端反射系数 $N _ { _ 2 } = \frac { Z _ { \mathrm { L } } - Z _ { \mathrm { c } } } { Z _ { \mathrm { L } } + Z _ { \mathrm { c } } } { = } 1$
可见当终端开路、短路或接纯电抗负载时满足这两个条件,既均匀线上存在幅度相等的正向和反向行波,相叠加形成驻波如图 7-3 所示。本实验也是着重针对这三种情况进行设计、研究与验证。

图 7-3 驻波的形成
(2) T 型二端口网络模拟无损传输线可行性分析
长度为 $l$ 的无损传输线在正弦稳态下,由终端电压电流表达始端的传输参数方程为
$$ \left. \begin{array} { r } { \dot { U } ( l ) = \dot { U _ { 2 } } \cos \beta l + \mathbf { j } \dot { I } _ { 2 } Z _ { \mathrm { c } } \mathrm { s i n } \beta l } \ { \dot { I } ( l ) = \mathbf { j } \frac { \dot { U } _ { 2 } } { Z _ { \mathrm { c } } } \mathrm { s i n } \beta l + \dot { I } _ { 2 } \cos \beta l } \end{array} \right} $$
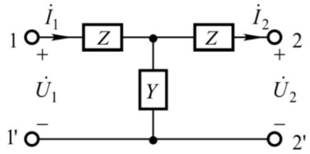
分析式(7-3)传输参数矩阵可见,其本质就是一个对称二端口,于是可以用对称的 T形或形网络进行等效,图 7-4 所示为等效的 T形二端口模型。

图7-4 等效T形二端口模型
对(7-3)式中的三角函数进行泰勒级数展开,当线路相对波长较短时,对比图 7-4所示二端口传输方程可得 T型网络参数如下:
$$ \left{ \begin{array} { c } { \displaystyle Z \approx \frac { 1 } { 2 } \beta l Z _ { \mathrm { c } } = \frac { 1 } { 2 } l \mathrm { j } \omega L _ { \mathrm { 0 } } } \ { \displaystyle Y \approx \frac { \beta l } { Z _ { \mathrm { c } } } = \mathrm { j } \omega C _ { \mathrm { 0 } } } \end{array} \right. $$
要更好的模拟一条无损均匀线,以研究线路上不同位置电压电流的分布情况,可把均匀线等分成 $n$ 段,每一段看成一个 T形二端口网络。这种由多个相同的对称 T形二端口网络级联组成的链形电路,即可用于实验室对实际均匀传输线进行仿真模拟研究。
(3) 本项目仿真无损线参数 $Z _ { \mathrm { c } }$ 与 $\beta ^ { \prime }$ 的计算
本项目通过 $\mathrm { T }$ 型二端口网络模拟无损传输线电路如图 7-5 所示。

图 7-5 无损传输线模拟电路
T 型网络的传输参数方程为
$$ \begin{array} { l } { \displaystyle { \dot { U } _ { 1 } = \dot { U } _ { 2 } \left( 1 - \frac { \omega ^ { 2 } L C } { 2 } \right) + \dot { I } _ { 2 } \left[ \mathbf { j } \omega C \left( \frac { L } { C } - \frac { \omega ^ { 2 } L ^ { 2 } } { 4 } \right) \right] } } \ { \displaystyle { \dot { I } _ { 1 } = \dot { U } _ { 2 } \mathbf { j } \omega C + \dot { I } _ { 2 } \left( 1 - \frac { \omega ^ { 2 } L C } { 2 } \right) } } \end{array} $$
对比式(7-3)传输线参数方程有
$$ \beta ^ { \prime } = \beta l = \operatorname { a r c c o s } ( 1 - { \frac { \omega ^ { 2 } L C } { 2 } } ) $$
$$ Z _ { \mathrm { c } } = { \sqrt { { \frac { L } { C } } - { \frac { \omega ^ { 2 } L ^ { 2 } } { 4 } } \ } } $$
同时
$$ \beta ^ { \prime } = \frac { l } { \lambda } \times 2 \pi $$
其中l为本项目设计的单节 T 型二端口模拟的无损传输线长度(如 $\lambda / 6 ~ )$ , $\beta ^ { \prime }$ 为单节相位系数, $Z _ { \mathrm { c } }$ 为波阻抗。本实验电感电容选用实验室已有元件,再根据式(7-4)、(7-5)和(7-6)以及所设计的单节传输线长度(以波长计量)来确定激励频率( $f = \omega / 2 \pi \mathrm { ~ ) ~ }$ )和模拟的无损传输线波阻抗 $Z _ { \mathrm { c } }$ 及无损线长度。
7.2 实验方案
(1) 链形电路模拟传输线的可行性验证
设计链形仿真和实物电路(两节)模拟 $\lambda / 3$ 无损线如图 7-6 所示。利用实验室已有元器件,取电感 $L { = } 1 0 \mathrm { m H }$ ,电容 $C = 0 . 0 1 ~ \mu \mathrm { F }$ 。

图 7-6 模拟 $\lambda / 3$ 无损线的链形电路
利用式(7-6)可知单节 $\lambda / 6$ 的 $\beta ^ { \prime } = 6 0 ^ { \circ }$ ,则通过所搭建的两节模拟无损线后的相位变化为 $2 \beta ^ { \prime } = 1 2 0 ^ { \circ }$ 。利用式(7-4)和(7-5)可以计算出激励频率 $f$ 和仿真无损线的特性阻抗 $Z _ { \mathrm { c } }$ 。此外,由频率 $f$ 可得本实验模拟的架空无损传输线波长
分别在仿真和实物链形电路中,终端均接匹配负载 $R _ { \mathrm { L } } = Z _ { \mathrm { c } }$ ,激励设置用功率输出端,电压有效值取 2V。然后在始端、中间节点和终端处分别测量电压,仿真得到电压随时间变化曲线是否如图 7-7,观察每经过一节传输线电压变化相位是否 ${ { 6 0 } ^ { \mathrm { o } } }$ ,对比理论设计。对链形实物电路,终端匹配时沿线各点电压大小和相位差测量数据计入表 7-1,分析测量结果,对比仿真实验数据。再测量中间节点电流大小相位差,记录数据于表 7-2 中。
表7-1 终端匹配时沿线各点电压大小和相位测量数据
| 终端状态 | 测量项目 | 测试节点 | |||||||
| 1 | 2 | 3 | 4 | 5 | 6 | 7 | 8 | ||
| 匹配 | U/V | ||||||||
| 4 | |||||||||

图7-7 链形等效电路终端匹配各点电压波形
随后再利用无损线模型对链形电路所得各点电压波形结果进行验证,同样在终端接匹配负载 $R _ { \mathrm { L } } = Z _ { \mathrm { c } }$ ,仿真电路如图 7-8(a)所示。当参数设置为 $\lambda / 3$ 线长,在相同激励源输入下对始端、中间节点和终端三个位置,观测电压波形如图 7-8(b)所示。

(a) 无损线终端匹配仿真电路

图7-8 无损线终端匹配仿真电路和电压波形
图 7-8(b)对比图 7-7,其与链形电路所测结果相同,即证明了利用集中参数元件搭建的链形电路模拟短无损传输线的研究可行。完全可以搭建集中参数链形电路,通过调节正弦激励的频率、自行设置电容及电感的大小来实现对不同波阻抗、不同长度分布参数电路无损传输线的实物仿真模拟。
(2) 无损线驻波现象研究
1) 终端开路
终端开路时,链形仿真电路如图 7-9 所示,这里需要注意的是,仿真时在电源端加一个电阻以使电路快速达到稳定状态。

图7-9 终端开路仿真电路
既 $Z _ { L } = \infty$ , $\dot { I } _ { 2 } = 0$ ,代入式(7-1)中,有
$$ { \dot { U } } ( x ^ { \prime } ) = { \dot { U } } _ { 2 } \cos \beta x ^ { \prime } \quad \qquad U ( x ^ { \prime } ) = U _ { 2 } \big | \cos \beta x \big | $$
$$ \dot { I } ( x ^ { \prime } ) = \mathrm { j } \frac { \dot { U } _ { 2 } } { Z _ { \mathrm { c } } } \sin \beta x ^ { \prime } \qquad I ( x ^ { \prime } ) = \frac { U _ { 2 } } { Z _ { \mathrm { c } } } \big | \sin \beta x \big | $$
电压与电流相量之比,可得终端开路时沿线向终端视入的等效阻抗:
$$ Z _ { \mathrm { i } } ( x ^ { \prime } ) = - \mathrm { j } Z _ { \mathrm { c } } \mathrm { c o t } \beta x ^ { \prime } = - \mathrm { j } Z _ { \mathrm { c } } \mathrm { c o t } { \frac { 2 \pi } { \lambda } } x ^ { \prime } = \mathrm { j } X _ { \mathrm { i } } $$
既为纯电抗。模拟均匀线的仿真和实物电路均测量中间点 $x ^ { ' } = \lambda / 6$ 处电压电流及相位差 $\varphi$ ,记入数据于表格 7-2 中,以便实验报告中计算 $Z _ { \mathrm { i } } ( \lambda / 6 )$ ,对比理论分析,距离终端小于处是否呈现纯电容特性。
表7-2 中点电压与电流相量测量数据
| 终端状态 | 电路模拟 | 电压/V | 电流/mA | 电压电流相位差φ |
| 匹配 | 仿真 | |||
| 实测 | ||||
| 开路 | 仿真 | |||
| 实测 | ||||
| 短路 | 仿真 | |||
| 实测 |
2)终端短路
仿真和搭建实物模拟无损传输线终端短路的电路和仿真实验波形分别如图 7-10(a)和(b)所示,观测电压电流相位超前滞后关系,是否正交。再测量中间点 $x ^ { ' } = \lambda / 6$ 处电压电流及相位差 $\varphi$ ,记入数据于表格 7-2 中,对比理论分析,距离终端短路时小于 处是否呈现纯电感特性。

图7-10 终端短路仿真电路和波形
3)终端接纯电抗时驻波现象分析
在无损线终端接入任意电感或电容时,终端反射系数 $N _ { _ 2 } = \frac { Z _ { \mathrm { L } } - Z _ { \mathrm { c } } } { Z _ { \mathrm { L } } + Z _ { \mathrm { c } } } { = } 1$ L c =1Z Z ,可见满足驻波条件。要求:
(a) 自行设计接入电容或电感元件,计算电抗参数;(b) 观测链形仿真电路波形是否有明显的驻波现象;既电压(或电流)两个相邻的波节或波腹的距离为 $\lambda / 2$ ,电压和电流两个相邻的波节或波腹的距离为(c) 测量链形实物电路终端电压电流及相位差,记入自拟表格,计算对比 (a) 电抗参数;(d) 测量链形实物电路中间节点处电压电流及相位差,计算变换阻抗,对比式(7-2)理论值。
(3) 二端口传输特性研究
通过测量终端匹配(沿线电压电流同相位)相关数据记入表 7-3 中,计算二端口传输参数矩阵(附推导过程),验证链形仿真线电路传输特性。
表7-3 终端匹配时始端-中点-终端各电压电流相量测量数据
| 始端 | 中间节点 | 终端 | |
| 电压值(V) | |||
| 电压相位(°) | |||
| 电流值(mA) | |||
| 电流相位(° |
7.3 提高部分
此部分将进行终端接纯电抗延长无损线设计以及 $\lambda / 4$ 无损线实现阻抗变换等理论和实验研究。
(1)终端接纯电抗延长无损线设计
分析无损线距离终端 $\lambda / 4$ 节点处的电气特性如图 7-11 所示。终端开路无损线 $\lambda / 4$ 处为电压为 0即波节,电流极大为波腹;终端短路无损线 $\lambda / 4$ 处电流为 0即波节,电压极大为波腹。由于该实验中电流值本身很小,为了说明波节(或波腹)现象明显,建议选择构建 $\lambda / 4$ 终端开路线研究。

图 7-11 无损线距离终端 $\lambda / 4$ 节点处的电气特性
为了使距离终端的中间节点处长度为 $\lambda / 4$ 传输线,需要在前面基本实验单节为的基础上,设计在终端接上一电容使其等效为多长的终端开路线。要求:
1)写出设计原理,计算出终端所接电容值大小;
2)搭建仿真和实物电路,观测 $\lambda / 4$ 处仿真实验波形;
3)测量 $\lambda / 4$ 处电压电流值,记入自拟表格,对比理论分析说明。
(2) $\lambda / 4$ 无损线阻抗变换和线长确定
设计两节二端口链形电路实物仿真 $\lambda / 2$ 无损传输线,既改变原来单节 $\lambda / 6$ 的传输线为单节 $\lambda / 4$ ,要求:
1)确定需要调整的电源频率,写出频率计算过程;2)根据电源频率计算链形电路实物模拟的无损传输线长,写出过程;3)仿真电路终端接任意纯容性(或感性)负载,观测中间节点( )处的电压与电流波形(如本例接电容电路和仿真波形如图 7-12 所示);4)测量链形实物电路中间节点( )处电压电流记入自拟表格,计算变换阻抗,对比式 $Z _ { \mathrm { i } } = Z _ { \mathrm { c } } ^ { 2 } \big / Z _ { L }$ 理论值,分析误差原因。

(a) 无损线链形仿真电路

图 7-12 无损线模拟电路及 $\lambda / 4$ 处电压电流波形
8. 教学实施进程
(1) 下达任务 发布材料
老师在实验前一周下发实验预习任务,指明实验内容以及对应的理论知识点;学生根据任务提前思考,观看教学视频,设计实验方案,计算实验参数。
(2) 实验操作 积极思考
学生根据预习内容,自行搭建仿真传输线的链形实物电路,课堂上现场连线操作并记录实验测量数据;老师根据每组(每人)实际情况,实时监督指导,随时提出问题供学生思考,培养学生实践中解决问题的能力。
(3) 扩展设计 创新提高
在学生完成基础实验后,适时引导学生拓展思维,综合运用所学章节前后贯通,自主设计综合实验,方案老师检查通过即刻操作,以促进学生创新提高。
(4) 总结经验 提交报告
老师进行实验结果验收,学生要根据实验测量数据与收获整理实验报告一周后提交。
(5) 综合成绩 师生共判
评判学生成绩依据后面第 10 项的考核要求与方法:报告内容方案是否书写整洁简明,测量数据处理是否完善,结论分析是否科学合理,思考问题角度是否新颖,正文图表公式是否规范,甚至有没有对该实验或实验室的建议或意见等等;再综合课前预习,课堂实验表现,课后班级讨论等等,再参考同学评价给出最终成绩。
9. 实验报告要求
实验报告需要反映以下工作:
(1)预习内容
包括无损传输线基本理论表述,绘制实验电路图,依据元器件参数推导信号源频率 $f$ 、相位系数 $\beta ^ { \prime }$ ;预习仿真电路截图,仿真波形分析,利用仿真结果计算传输矩阵并与理论值进行比较。
(2)实验内容
1)实验题目准确、目的明确;
2)实验选择仪器与模块名称清楚;
3)实验思考问题解答简明正确;
4)基本实验数据分析;
包括实验电路图正确,测试数据记录完整清晰,具体如下:
(a) 终端匹配:记录终端匹配时沿线各点电压大小和相位测量数据计入表 7-1;通过串联小电阻测其电压以便得到沿线各位置电流值,自行设计表格记录。分析测量结果,
对比仿真实验数据,总结误差原因。
(b) 终端匹配/开路/短路:记录终端分别匹配/开路/短路时,测量仿真线两级之间的中间节点处电压、电流相量,并计算电压、电流相位差计入表 7-2。分析测量结果,对比仿真实验数据,总结误差原因。
(c) 二端口传输特性:通过测量终端匹配(沿线电压电流同相位)相关数据记入表7-3,计算二端口传输参数矩阵(附推导过程),验证链形仿真线电路传输特性。
5)实验提高创新设计;
延长无损传输线设计、利用 无损线实现阻抗变换等提高部分,需要学生自主设计实验电路和测量步骤,设计实验表格并记录数据,深入分析实验现象,解决测量过程中遇到的技术问题,查找理论和实测误差原因,提出解决方案。
6)实验结论,实验的收获与体会,对实验室的建议,撰写质量高、规范的实验报告;
7)附加有实验指导教师签字的原始数据记录。
(3)思考题回答
-
还可以通过怎样设计来验证链形实物电路模拟传输线的可行性?
-
仿真时电源端加一个电阻的大小会对波形有什么影响,为什么?
-
提高部分延长无损线到 设计,终端接电容还是电感更好,为什么?
10.考核要求与方法(限 300 字)
1) 课前预习(3 分):掌握电路基本理论,了解设备使用方法,设计实验方案正确,绘制完整电路图,计算实验参数,做好课前仿真记录;
2) 课内实验(4分):电路搭建正确,仪器使用熟练,测量过程完整,实验操作规范,数据记录准确,积极参加讨论,问题分析深入,工程实践综合能力强;
3) 实验报告(3分):实验报告提交及时,内容方案书写整洁,测量数据处理完善,结论分析科学合理,思考问题角度新颖,正文图表公式规范;
4) 扩展提高(附加 2分):扩展设计有创新,推理严谨,方案可行;步骤合理,过程具体,操作规范,数据完整,分析正确。
11.项目特色或创新(可空缺,限 150 字)
1) 传输线和二端口结合,前后章节呼应,知识融会贯通;
2) 引导学生完全自主设计实验。计算机仿真和实验操作,均可通过调节正弦激励频率、设置电容及电感的大小来实现对不同波阻抗、不同长度无损线的模拟,培养学生工程实践能力;
3) 计算机求解、处理数据,锻炼学生综合能力;提高部分有充分扩展空间,激发学生创新精神。
参赛信息表
| 案例提供单位 | 哈尔滨工业大学 | 相关专业 | 电气工程及其自动化 | |||
| 设计者姓名 | 齐超 | 电子邮箱 | qichao @ hit.edu.cn | |||
| 移动电话 | 13101609201 | 通讯地址(含邮编) | 黑龙江哈尔滨市南岗区西大直街92 号哈尔滨工业大学电气学院 402#邮编:150001 | |||
| 设计者姓名 | 海吉天 | 电子邮箱 | 2925696586@qq.com | |||
| 移动电话 | 18945106877 | 通讯地址(含邮编) | 黑龙江哈尔滨市南岗区西大直街 92 号哈尔滨工业大学 学生 A03公寓 1502邮编:150001 | |||
| 设计者姓名 | 高俊杰 | 电子邮箱 | 1097808786@qq.com | |||
| 移动电话 | 13091881318 | 通讯地址(含邮编) | 黑龙江哈尔滨市南岗区西大直街92 号哈尔滨工业大学 A03 公寓1506邮编:150001 | |||
| 相关课程名称 | 电路实验 | 学生年级 | 大二/春季 | 学时(课内+课外) | 2+1 | |
| 支撑条件 | 仪器设备 | 函数信号发生器,Fluke-190测试仪,万用表 | ||||
| 软件工具 | Multisim 或 PSpice 均可 | |||||
| 主要器件 | 电阻箱,电感箱,电容箱,导线若干 | |||||