正弦交流电路提高感性负载功率因数研究
实验题目:正弦交流电路提高感性负载功率因数研究
1. 课程简要信息
课程名称:《电路分析实验》
课程学时:(32学时、课内)
适用专业:(电子信息类)
学生年级:(本科一年级、第二学期)
实验项目学时:3个学时
2. 实验内容与任务(限 500 字)
如图 1 所示,在三相交流电路中任选一路 RLC 电路,完成感性负载功率因数的计算及改善研究。实验设计操作过程由浅到深、逐级深入,在有限的实验教学课时数内,完成实验设计。

图1 三相交流电路实验操作界面
实验任务:
- 以电感作为研究对象,设计具体的测试方案获得电路各元件的实际模型;2) 设计实验方案,通过实验测试判定电路的阻抗性质;3) 设计具体的实验电路以提高感性负载的功率因数,并给出合理的实验测试方案。
3. 实验过程及要求(限 300 字)
-
注意电路的正确连线设计;
-
完成电路总电压和总电流的测量;
-
完成电感两端电压的测量;
-
基于电感元件电压相量图,完成功率因数的计算;5) 根据拟提高功率因数的数值完成电容参数的计算;6) 创建波形观察文件,设置合理的仿真参数,观察输出信号波形;7) 结合三相交流电远程实境实验平台完成实验设计;分析并验证电路设计的合理性。
4. 相关知识及背景(限 150 字)
本实验主要以电感为对象对正弦稳态电路的相量进行研究,通过对感性负载两端并联电容,以达到改变功率因数的目的。在实验中学生需掌握采用二表法完成功率因数的计算,及理解提高感性负载功率因数的意义。
5. 教学目标与目的(限 100 字)
- 理解和掌握提高感性负载功率因数的意义及方法;
- 进一步学习和体会实验设计的方法及步骤;
- 测量电路中器件的参数,理解其电压、电流间相位关系。
6. 教学设计与引导
正弦交流电路提高感性负载功率因数研究实验采用远程实境实验平台结合Zoom直播形式开展混合式教学,如图2所示。

图 2 远程实境实验平台结合 Zoom 直播的混合式实验模式
如何保障在线实验教学与师生面对面指导教学的“实质等效”是一个非常重要的问题,通过对实验内容、形式及模式的相应调整,在“实质等效”上取得了一定效果。实验教学组织形式如图3所示。

图 3 实验教学组织形式
远程实境实验及线上互动指导不等于传统实验的复制,需要精心设计实验内容及步骤。设计原则是教学大纲先导,在此基础上提升两性一度,及时调整实验方法、步骤及手段。远程实境实验设计流程如图4所示。

图 4 远程实境实验设计流程
教学引导:
1)教师通过演示实验过程,给出典型案例分析,引发学生的好奇心理和探究欲望;
2)教师引出话题,如何进行实验方案设计,并让学生分组讨论;
3)总结学生讨论话题的基础上,简要介绍实验工作原理;
4)学生分组完成完实验设计,组织优秀学生分享设计心得,全体讨论是否有改进方案;
5)学有余力的同学,进行扩展任务设计。
7. 实验原理及方案
在正弦稳态交流电路中,各节点电流及回路电压间仍满足基尔霍夫定律,与线性电阻电路不同的是:节点电流间或回路电压间满足的是相量形式的基尔霍夫定律,即 $\scriptstyle \sum { \dot { U } } = 0$ 和 $\scriptstyle \sum { \dot { I } } = 0$ 。
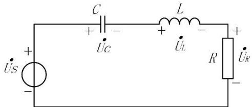
如在 R、 L、 $C$ 串联电路中,回路电压应满足 $\dot { U } _ { \mathrm { R } } { + } \dot { U } _ { \mathrm { L } } { + } \dot { U } _ { \mathrm { c } } { = } \dot { U } _ { \mathrm { S } }$ , (其中 $\dot { U } _ { \mathrm { s } }$ 为电压源电压相量),电路如图 5 所示。在 R、 L、 $C$ 并联电路中,各支路电流间满足 $\dot { I } _ { R } { + } \dot { I } _ { L } { + } \dot { I } _ { C } { = } \dot { I } _ { S } ,$ ( İS 为电
流源电流相量),电路如图 6 所示。

图 5 R、 L、 $C$ 串联电路

图 6 R、 L、 $C$ 并联电路
上述电压、电流间关系可用相量图表示。由于理想电感上的电压超前其电流 $9 0 ^ { \circ }$ ,理想电容上的电压滞后其电流 $9 0 ^ { \circ }$ ,理想电阻器电压与电流同相。当 R $L$ $C$ 三者串联时,流过各个元件的电流均为İ,而各个元件上的电压相量分别与 $\dot { I }$ 同相、超前 $\dot { I } 9 0 ^ { \circ }$ 、滞后 $\dot { I } ~ 9 0 ^ { \circ }$ ,由此得到的三者串联后的总电压相量如图7所示,图中 $\Phi$ 为 $R$ 、 $L$ 、 $C$ 串联电路的阻抗角。同理,亦可得到三者并联后的总电流相量如图 8 所示, $- \Phi$ 为 $R , \ L ,$ 、$C$ 并联电路的阻抗角。

图 7 R、 L、 $C$ 串联电路相量图

图 8 R、 L、 $C$ 并联电路相量图
8. 教学实施进程
远程实境实验引导学生完成串联电路中回路电压基尔霍夫定律分析、并联电路中支路电流基尔霍夫定律分析、正弦交流电路有功功率分析等实验设计,探索改善电路功率因素的方法,加深学生对电压、电流相量关系的理解和掌握。
1)进入实验界面,如图 9 所示,点击“Three-phase Circuit: Balanced”栏,进入电压、电流相量分析界面。

2)R、L串联电路设计,进行基尔霍夫电压定律实验,如图 10 所示。

图 9 正弦交流电路功率因素测量数据
图 10 R、 $L$ 串联电路远程实境实验
3)R、 $C$ 并联电路设计,进行基尔霍夫电流定律实验,如图 11 所示。

图 11 R、 $C$ 并联电路远程实境实验
4)R、L、 $C$ 正弦交流电路设计,测量电路有功功率,计算功率因素 值,分析电压、电流相量关系,如图 12 所示。

图 12 R、L、 $C$ 正弦交流电路远程实境实验
9. 实验报告要求
学生按实验教学任务要求完成实验设计,对所设计的实验进行测试验证,给出电路优化方案,提交实验总结报告。报告要求如下:
-
按照实验原理和实验步骤进行实验设计,完成实验后提交 Word 文档实验报告。
-
实验报告文件命格式为:姓名—学号—XXXX(实验名称).doc。
3)报告内容至少应包含摘要、引言、系统总体设计方案、分模块电路组成、时序仿真结果及分析、硬件平台下载调试、实验总结等。
10.考核要求与方法(限 300 字)
学呗课堂为本课程提供了强大的信息化和数据管理系统,如图 13 所示。借助学呗课堂,电路分析实验已经实现了实验过程全电子化处理。

图 13 学呗课堂教学资源平台
根据学生的实验过程、总结报告和实验创新等进行实验考核。在整个项目实施过程中,引导学生充分关注实验秩序和实验安全等问题。学生如有做得好的地方,可以获得额外加分。
实验成绩 $= 5 0 %$ 实验过程 $+ 3 0 %$ 总结报告 $+ 2 0 %$ 实验创新。
正弦交流电路提高感性负载功率因数研究远程实境实验,成绩评分要求如表 1 所示。
表1 正弦交流电路提高感性负载功率因数研究远程实境实验评分要求
| 项目及比例 | 分值 | 评分要求 |
| 实验过程50% | 50 | 按照实验内容要求,完成4个子项目的实验操作,并正确记录表1至表4所有的实验数据。 |
| 40 | 按照实验内容要求,完成3个子项目实验操作,并正确记录相关实验步骤涉及的实验表格数据。 | |
| 20 | 按照实验内容要求,完成2个子项目实验操作,并正确记录相 | |
| 关实验步骤涉及的实验表格数据。 | ||
| ≤10 | 按照实验内容要求,完成1个子项目实验操作,并正确记录相关实验步骤涉及的实验表格数据。 | |
| 总结报告30% | 30 | 按照学呗课程要求上传电子版总结报告和讲解视频,报告包含了详细数据记录、计算和分析等内容,视频包含了数据分析讲解过程。 |
| 24 | 按照学呗课程要求上传电子版总结报告,报告包含了详细数据记录、计算和分析等内容,未上传讲解视频。 | |
| 16 | 按照学呗课程要求上传电子版总结报告,报告内容基本完整,数据分析过程不够详尽,未上传讲解视频。 | |
| ≤8 | 上传的电子版总结报告内容不完整,缺少必要的数据分析过程,未上传讲解视频。 | |
| 实验创新20% | 20 | 远程实境实验操作规范,测试方法、数据分析过程具有较高的原创性和新颖性。 |
| 16 | 远程实境实验操作规范,测试方法、数据分析过程具有部分原创性和新颖性。 | |
| 10 | 远程实境实验操过程规范一般,测试方法、数据分析过程原创性和新颖性一般。 | |
| ≤5 | 远程实境实验操过程规范较差,测试方法、数据分析过程无原创性和新颖性。 |
11.项目特色或创新(可空缺,限 150 字)
利用网络进行在线教育已经成为现代教育的一个重要组成部分,也为疫情期间一种重要的学习模式。通过多媒体、仿真软件等技术在计算机上搭建一种模拟传统实验的操作环境,在线仿真实验教学是疫情期间各高校开展在线实验的常见方式。
如何借助信息化技术,开发“正弦交流电路提高感性负载功率因数研究远程实验”,有效地解决了教学过程中时间、地域和安全因素等限制的现实问题,达到“处处能学、时时可学”的泛在学习目的,对于探索实验教学新模式、培养多学科交叉复合型人才具有重要而深远的意义。
参赛选手信息表
| 案例提供单位 | 杭州电子科技大学 | 相关专业 | 电子信息工程 | |||
| 设计者姓名 | 马学条 | 电子邮箱 | mxt @hdu.edu.cn | |||
| 移动电话 | 13989897425 | 通讯地址(含邮编) | 杭州市下沙高教园区杭州电子科技大学2教北楼218(310018) | |||
| 设计者姓名 | 赵晓梅 | 电子邮箱 | zxm@hdu.edu.cn | |||
| 移动电话 | 15258851722 | 通讯地址(含邮编) | 杭州市下沙高教园区杭州电子科技大学1教南楼105(310018) | |||
| 设计者姓名 | 郑雪峰 | 电子邮箱 | 948525095@qq.com | |||
| 移动电话 | 13291880181 | 通讯地址(含邮编) | 杭州市下沙高教园区杭州电子科技大学2教北楼218(310018) | |||
| 相关课程名称 | 电路分析实验 | 学生年级 | 大一 | 学时(课内+课外) | 32学时 | |
| 支撑条件 | 仪器设备 | 计算机 | ||||
| 软件工具 | Labview | |||||
| 主要器件 | 三相交流电远程实境实验平台 | |||||