元器件应用——振荡器测硬币
实验题目:元器件应用——振荡器测硬币
课程简要信息
课程名称:电子设计基础训练
课程学时:64学时
项目学时:4学时
适用专业:电子信息类
学生年级:大一春季学期
实验内容与任务
项目需要完成的任务(如需要观察的现象,分析某种现象的成因、需要解决的问题等);是否设计有不同层次的任务。
本实验主要以实验板上的LC三点式振荡器的电路为例,让学生理解LC振荡器的基本原理,能够利用振荡器完成硬币测量及其他相关的应用,实验主要基于振荡器电路实验板,如图1所示。具体任务和要求如下:
图 1 振荡电路实验板
基本要求:
-
振荡电路测试:在实验板的Cx2和Lx处分别接入不同的电容和电感,使用示波器观测每种情况下的振荡器OUT输出信号,测量其频率并与计算得出的理论值对比
-
硬币数量测量:学生使用导线在线轴上动手绕制的电感并接入Lx,在Cx2处接入电容,然后分别测量在线轴上不放硬币、放一枚硬币、放多枚硬币时的振荡器OUT的输出信号频率
提高要求:
-
硬币类型测量:在基本要求的基础上,测量不同类型硬币时振荡器的输出
-
通过修改Cx2,使得振荡器的输出频率不超过800kHz
-
将振荡器的输出通过一个比较器输出成方波
相关知识及背景
项目涉及所需的知识方法、实践技能、应用背景、工程案例。
本实验面向已学习基本电子元器件知识和掌握常用测量仪器使用方法的学生,旨在通过一个具有实际应用价值的综合性小项目,加深对元器件功能与应用的理解。与传统测量实验不同,本实验引入了“测量硬币数量与类型”的工程化任务,引导学生将多个基础知识点整合应用于一个完整的电路设计与测试过程中,提升实践动手能力与解决实际问题的意识。
实验采用三点式LC振荡器作为测量核心,利用其输出频率受LC参数影响的特性进行设计。当金属硬币靠近电感线圈时,会通过涡流效应改变线圈的等效电感,从而引起振荡器频率的变化。通过观察频率的变化规律,可以间接判断硬币的数量或材质类型,实现非接触式金属物体识别的目的。
本实验改编自大学生电子设计竞赛中的“纸张厚度测量”项目。原项目通过纸张引入不同介电常数,改变电容器参数,从而利用振荡频率变化测量纸张厚度。而本实验则采用相似原理,转而通过改变电感量实现功能迁移与延伸,在保留其工程思维和设计思想的基础上,进一步提升了趣味性和可操作性。
实验环境条件
项目实施需要实验资源,包括实验装置功能、实验仪器设备、设计软件工具、主要电子元器件等。
项目实施需要实验资源,包括实验装置功能、实验仪器设备、设计软件工具、主要电子元器件等。具体清单如下:
实验仪器设备:直流稳压电源,示波器
电子元器件:振荡器电路实验板,直插电容,漆包线
其他实验器材:硬币,线轴
在线实验环境:Easy云课堂

教学目标与目的
如学习、运用知识、技术、方法等;培养、提升技能、能力、素质等。
本实验以三点式LC振荡器为应用平台,侧重于元器件的综合测量与应用训练。在学生掌握常用元器件基本测量方法的基础上,进一步引导其将分立元件组合构建完整电路,提升实际动手能力和系统认知能力。实验设置结合“测量硬币数量”的工程背景,通过设计有趣的应用情境,激发学生学习兴趣,增强对电子技术在实际工程中的感知与理解。通过本实验,学生将熟悉电子元件在实际电路中的作用与配合,强化电路搭建、调试及结果分析等实践技能。
教学设计与实施进程
课堂知识讲解、方法引导、背景解释;实验中的方法指导,问题设置、思路引导等。教学模式、实验渠道、研讨主题、观察节点、验收重点、质询问题等方面设计等。实验实施进程的各个环节(如任务安排、预习自学、现场教学、分组研讨、现场操作、结果验收、总结演讲、报告批改等)中教学设计的思路、目的,教师、学生各自需要完成的工作任务,需要关注的重点与细节。
本实验充分调研了相关专业需求并结合“电子设计基础训练”课程的教学大纲,设计实现了“元器件应用——振荡器测硬币实验”实验;设计了相关实验设备和实验器材,完成了实验指导书的撰写,并借助Easy云课堂在线平台开展实验教学环节,在实验过程中引导学生利用AI工具来辅助查找资料、排查问题。本实验具体教学过程如下:
一阶段(0.5学时)
教师在MOOC上发布视频讲述振荡器基本原理,同时在Easy云课堂上面发布学习计划和相关资料,引导学生自主预习实验所需的前置知识,并要求学生最终完成预习小测验。
二阶段(3学时)
本阶段首先为教师对实验操作进行讲解,包括绕线电感的制作、仪器的使用等。
在讲解完成基本知识点后,发布实验任务和实验步骤,学生进入动手实操环节,主要步骤如下
- 在实验板的Cx2和Lx处分别接入电容和电感,使用示波器观测振荡器OUT输出信号,测量其频率并与计算得出的理论值对比
-
将电容改为其他容值,再次使用示波器观测振荡器OUT输出信号,测量其频率并与计算得出的理论值对比
-
绕制电感并插入Lx:用漆包线在直径为3.6cm的线轴上绕50-60圈左右,可以得到量级约为100uH的电感,将两头插入Lx的两端
- 硬币测量实验:Lx接绕制的电感,在Cx2处接入电容,在线轴的中间分别放上一枚和两枚硬币,观察示波器图像
-
在上一步的基础上,改变Cx2处的电容,再次观察两种情况下的信号输出频率
-
学生收集实验数据,将其填入Easy云课堂发布的对应实验报告中

学生在实验过程中出现问题时可通过电子设计基础训练智能体获取帮助


三阶段(0.5学时)
学生总结课中所学知识,在Easy云课堂完成课后思考题,为帮助学生更好地思考,引导学生借助AI工具探索如何通过改变电容进行测量,并分析测量数据,从而对电容电感特性更深入的认识。
实验原理及方案
实验的基本原理、设计依据、完成任务的思路方法,可能采用的方法、技术、电路、器件。
振荡器是一种能够产生连续、周期性输出信号的电路,在通信、信号处理和电子设备中起着关键作用。振荡器主要分为 LC 振荡器、RC 振荡器、晶体振荡器、压控振荡器等。振荡器通常利用一个放大器和一个正反馈网络来构成满足振荡条件的电路。
- 电感相关知识
i. 绕线电感原理:
绕线电感是通过将导线(如铜线)绕制成线圈结构,利用电流通过线圈时产生的磁场来存储能量的无源元件。根据法拉第电磁感应定律,变化的电流会在线圈中产生自感电动势(
),其核心公式为:
其中,
:磁芯材料的磁导率(真空磁导率
);
:线圈匝数;
:线圈横截面积;
:磁路有效长度;
ii. 电感磁芯对点干的影响:
磁芯是绕线电感的核心部件,其材料和形状对电感性能有显著影响
- 磁芯材料的影响:
通过绕线电感的电感量计算公式看出,磁芯材料的磁导率
越高,电感量越高
- 磁芯形状的影响:
闭合磁路(如环形磁芯)漏磁少,电感稳定性高,抗干扰能力强;开放磁路(如棒状磁芯)漏磁较大,易受外界磁场干扰。
iii. 电感对振荡器的影响:
电感不仅影响振荡器频率及幅度(原理在后续部分),还对振荡器稳定性产生一定的影响,如磁芯材料的温度系数会导致
变化,进而引起频率漂移;振荡电流过大会导致磁芯饱和,
骤降;电感的寄生电容也会引入高频谐振点影响高频振荡器性能。
- LC 回路的自由振荡现象
如图所示。为一个简单的 LCR 串联电路,初始时电容C存储了一定的电荷,
。
图2 LCR 串联电路
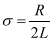
基尔霍夫电压定律是指在任意一个闭合回路中,各段电压的代数和为零。这个定律实际上反映了电路中电势的守恒:在一个闭合回路中,电势从一个点出发,绕一圈后回到原点时,总电势变化为零。在这里就是指这个串联电路中,电阻电压
、电感电压
和电容电压
之和为0。
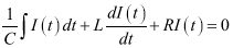
对于电容C,它的电压和电流关系可以由
推导得到,因为电荷Q等于电流在一段时间内的积累,所以
,再代入
可得
。
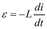
对于电感L,它的电压和电流关系可由法拉第定律推导得到,通过线圈的感应电动势(电压)与磁通量的变化率成反比
,而磁通量与通过电感的电流成正比
,因为电感通常为一个常量,因此两式联立可得
。对于电阻 R,它的电压和电流关系即
。因此可得:
。对时间求导,得到电流的二阶微分方程:
,
,
。因此通过数学方法可以解得:
,
是电容的初始电压,
为考虑回路损耗后的阻尼振荡角频率,
为初始相角。
图3 电流变化图
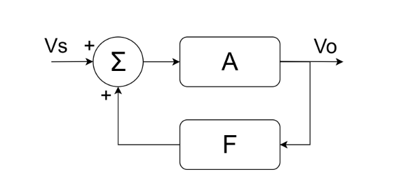
- 振荡条件
自由振荡电路产生的振荡信号终会随电阻的损耗而不断衰减,因此为了维持振荡信号,必须要为振荡器提供能量。这样的振荡器一般由一个包含LC谐振回路的放大器A和一个反馈网络F组成。
图4 包含放大器和反馈网络的LC谐振回路结构图
放大器和反馈网络的参数需要满足一定条件才能起振和最终达到稳定。首先信号经过一个网络后,其幅度和相位都会发生一定的改变,假设经过放大器A后,信号的幅度变为原来的
倍,相位增加了
,而经过反馈网络F后,信号的幅度变为原来的
倍,相位增加了
。那么为了能补充电阻对信号的损耗,起振时需要
,而起振后,不能让幅度一直增大,因此系统内部存在随幅度增长而降低放大器增益的机制,平衡时需要
。此外,为了能满足相加时两者同相的相位关系,还需要
。
- 三点式振荡电路
图5 三点式振荡电路等效原理图
要使反馈环路产生自激振荡,则该电路内流通信号的总相移应等于
,即满足振荡的相位平衡条件。假设各极间的电路阻抗均为纯电抗。
图中
为回路谐振电流,在回路谐振时,各电抗的电压为
、
和
,其极性如图中所示。由于放大器输入,输出电压反相,因此
和
同相,关系为
。由于不考虑其他因素产生的相移,因此回路相移应为0,即
。为满足
,则
。
因此,三点式振荡电路起振的相位条件为:
(1)
和
应该是同一性质的电抗;
(2)
与
,
的电抗性质相反。
在本次实验中,
和
为电容,
为电感。除了满足相位条件,还需要经过放大器和反馈网络后信号的幅度条件。
如图所示**。**是基本的共射放大电路的原理性电路,其中的 NPN 型晶体管是起放大作用的核心元件。其中
是应该输入信号,通常为一个正弦波。
图6 基本的共射放大电路
当
时,放大电路处于静态。在输入回路中,基极电源
使晶体管be间电压
大于开启电压
,并与基极电阻
共同决定基极电流
,在输出回路中,集电极电源
应该足够高,使晶体管的集电结反向偏置,以保证晶体管工作在放大状态,因此集电极电流
,集电极电阻
上电流等于
,因而其电压为
,从而确定
。
当
时,在输入回路中,必将在静态值的基础上产生一个动态的基极电流
,进而带动
,而集电极电阻
将
的变化转化为电压的变化,也就使得管压降
产生一个变化的动态电压
。
因此,为共射放大电路设置合适的静态工作点是很重要的,它是共射放大电路可以将一个小信号不失真地放大的基础。如图所示,我们应该将静态工作点设置到Q点处,也就是将be间的电压
设置到合适的位置
,由于
和
之间的关系为指数关系,所以
的选取会影响到
区间的斜率值,进而影响电压放大倍数A。
图7 静态工作点的选择
通常我们还需要引入一个负反馈电阻,以便对抗温度等因素对静态工作点的影响。如图所示,就是在晶体管的发射极与地之间连接了一个电阻
。当温度升高时,集电极电流
增大,发射极电流
也相应增大,因此发射极电阻
的电压
随之增大,而
基本不变,因此
随之减小,导致
也随之减小。如果温度下降,则反过来推导,同样也可以补偿因为温度导致的
变化。这就使得静态工作点更加稳定。
图8 增加负反馈电阻后的放大电路
其次是反馈网络,为了简化分析计算过程,用振荡器等效原理图可以分析得到
。因此,需要满足
的条件,才能使振荡器起振。因此,放大器需要选取合适的静态工作点,使得增益A比较大,而反馈系数F只有一段范围内较合适, F过小,反馈不足,回路能量的补充不足以弥补回路的损耗;F过大,输入电路与回路耦合过紧,Q值降低,增益减小,环路负载过重,振荡也难以发生。因此一般取F为0.1到0.5即可。
而当振荡器起振后,随着振荡幅度的增加,振荡信号有一部分将进入放大器的非线性区,导致放大器的工作点向负偏压方向移动,增益A减小,直至
,振荡器就进入了平衡状态。
最后设计的振荡电路原理图如图所示。R1,R2,R4为三极管提供合适的直流偏置点,R3作为负反资电阻,使放大器工作更稳定,L1,C5,C3构成谐振回路,C1为振荡信号提供反馈回路。可以粗略计算振荡器的频率为
图9 振荡器电路原理图
![]() |
![]() |
|---|
图 10 振荡器电路仿真结果
实验报告要求
需要学生在实验报告中反映的工作(如:实验需求分析、实现方案论证、理论推导计算、设计仿真分析、电路参数选择、实验过程设计、数据测量记录、数据处理分析、实验结果总结等等),如:
实验报告需要反映以下工作:
-
预习答题:仔细阅读实验原理及公式推导后,根据预习内容回答问题,如给出电路数据计算振荡频率、推导振荡电路频率公式、计算特定频率对应电容电感值等。
-
**理论推导计算:**依据电路原理进行数学推导。对于LC振荡电路,根据基尔霍夫定律和元件特性推导振荡频率公式。说明公式中各参数(电感L、电容C)的物理意义和取值范围对振荡频率的影响。结合实验给定的元件参数(如具体的电感值和电容值),计算理论振荡频率,为后续实验结果对比提供理论依据。
-
**记录数据:**记录实验过程中的原始数据,更换不同电感值时的振荡频率测量值、振荡信号幅度测量值等。
-
**数据分析处理:**对记录的实验数据进行处理,如计算测量频率与理论频率的偏差。运用图表直观展示数据之间的关系,分析电路参数变化对振荡频率和幅度的影响。讨论实验数据与理论值存在偏差的原因,如元件的实际参数与标称值的差异、测量误差、电路的分布参数影响等。
-
**实验结果总结:**总结实验的主要成果,振荡电路的实验现象是否符合预期理论分析,如振荡频率是否在设计范围内、振荡幅度是否稳定等。归纳实验过程中遇到的问题及解决方法,提出对实验方案或电路设计的改进建议,例如优化元件参数选择以提高振荡频率的稳定性等。阐述通过本次实验对振荡电路原理的新认识和收获。
-
**扩展实验内容:**根据实验内容、过程及结果,完成拓展实验,如如何提高LC振荡频率稳定性、实际LC电路中为何需要放大器等。
考核要求与方法
考核的节点、时间、标准及考核方法。
-
操作规范:重点考查仪器使用、绕线、测量过程中通电等操作的规范性。这是保障实验顺利、安全进行的基础,操作不规范可能导致实验数据偏差甚至仪器损坏。
-
测量精度:依据实验设定的功能与性能指标,如电感测量精度等,评判测量结果的准确性,反映学生对实验原理的掌握和实际操作能力。
-
数据质量:关注数据记录是否完整、准确,以及数据分析是否深入、合理,体现学生对实验结果的分析和总结能力。
-
实验成果:从电路方案合理性等方面评估实验质量,考察功能构思、学生自主思考与独立实践能力。衡量是否合理利用实验室条件,材料与元器件选择是否恰当。
-
报告完整性:检查实验报告内容是否全面、规范,包括对实验过程的描述、问题分析是否深入等,这是学生对实验整体理解与归纳的体现
项目特色或创新
寓教于乐,寓乐于用:通过源自工程实践的"硬币测量"任务设计,将电阻、电容、电感等元器件的综合测量转化为趣味化操作场景。在支持多实现方案的教学框架下,允许学生通过不同元器件组合方式完成检测,既保持电子技术学习的专业深度,又通过生活化情境激发探索兴趣,显著提升抽象知识的内化效果。
科技竞赛成果转化:本项目源自大学生电子设计竞赛中“纸张厚度测量”课题的改造与优化,结合教学需求进行了功能拓展与适应性改良,针对教学场景开发阶梯式实验方案,既传承竞赛项目的创新基因,又实现专业测量技术向基础教学的有效下沉。
课程体系的承接与延伸性:项目承接中学阶段的元器件基础知识,服务于本课程的实践教学目标,并可自然衔接后续的自动化测量、电子电路与数字电路等核心专业课程,具备良好的教学衔接与拓展价值。










),其核心公式为:
:磁芯材料的磁导率(真空磁导率
);
:线圈匝数;
:线圈横截面积;
:磁路有效长度;
变化,进而引起频率漂移;振荡电流过大会导致磁芯饱和,
。
、电感电压
和电容电压
之和为0。
,再代入
。
,而磁通量与通过电感的电流成正比
,因为电感通常为一个常量,因此两式联立可得
。对于电阻
R,它的电压和电流关系即
。因此可得:
。对时间求导,得到电流的二阶微分方程:
,
,
。因此通过数学方法可以解得:
,
是电容的初始电压,
为考虑回路损耗后的阻尼振荡角频率,
为初始相角。

倍,相位增加了
,而经过反馈网络F后,信号的幅度变为原来的
倍,相位增加了
。那么为了能补充电阻对信号的损耗,起振时需要
,而起振后,不能让幅度一直增大,因此系统内部存在随幅度增长而降低放大器增益的机制,平衡时需要
。此外,为了能满足相加时两者同相的相位关系,还需要
。
,即满足振荡的相位平衡条件。假设各极间的电路阻抗均为纯电抗。
为回路谐振电流,在回路谐振时,各电抗的电压为
、
和
,其极性如图中所示。由于放大器输入,输出电压反相,因此
和
同相,关系为
。由于不考虑其他因素产生的相移,因此回路相移应为0,即
。为满足
,则
。
和
应该是同一性质的电抗;
与
,
的电抗性质相反。
和
为电容,
为电感。除了满足相位条件,还需要经过放大器和反馈网络后信号的幅度条件。
是应该输入信号,通常为一个正弦波。
时,放大电路处于静态。在输入回路中,基极电源
使晶体管be间电压
大于开启电压
,并与基极电阻
共同决定基极电流
,在输出回路中,集电极电源
应该足够高,使晶体管的集电结反向偏置,以保证晶体管工作在放大状态,因此集电极电流
,集电极电阻
上电流等于
,因而其电压为
,从而确定
。
时,在输入回路中,必将在静态值的基础上产生一个动态的基极电流
,进而带动
产生一个变化的动态电压
。
设置到合适的位置
,由于
之间的关系为指数关系,所以
区间的斜率值,进而影响电压放大倍数A。
。当温度升高时,集电极电流
增大,发射极电流
也相应增大,因此发射极电阻
随之增大,而
基本不变,因此
随之减小,导致
也随之减小。如果温度下降,则反过来推导,同样也可以补偿因为温度导致的
变化。这就使得静态工作点更加稳定。
。因此,需要满足
,振荡器就进入了平衡状态。


