双RLC谐振电路测量电容变化
实验题目:双RLC谐振电路测量电容变化
课程简要信息
课程名称:电路分析基础实验
课程学时:16
项目学时:课内2学时
适用专业:光电信息科学与工程
学生年级:第一学年第二学期
实验内容与任务、实验过程及要求。

图1 双RLC谐振电路实验过程示意图
本实验过程如图1所示:
-
在单RLC谐振电路基础之上,设计满足双谐振要求的RLC电路。用软件(Multisum、LTspice、Matlab-simulink、GeoGebra、python)模拟仿真计算得到满足测量要求的双RLC谐振曲线,确定实际测量电路选用参数。
-
根据初步选定RLC值,分析计算得到实际电路的工作频率
(此频率非固有谐振频率)。(注意和串联RLC单谐振电路的谐振频率
做对比)。 -
根据(1)和(2)中选定RLC参数和
,结合串联谐振曲线
,用软件(Matlab、python)仿真计算得到理论测量曲线
的关系。(非常重要) -
根据(1)和(2)中选定RLC参数和
,准备电路元器件、信号源、示波器、面包板和各种连接线材。 -
根据电路原理图,在面包板上搭建实际测量电路(注意可靠连接)。接入输入设备(信号源)和输出设备(示波器),通过信号源和示波器观察,在各独立支路中都可以观察到正弦波信号的输入和输出。
-
测量各支路输出电压(示波器正弦波幅值)。首先将信号工作频率调整至(2)中计算频率
,判断是否满足工作条件(
)(由于实际电路和理论计算存在差别,可能出现不完全匹配的情况)。若计算工作频率
不完全匹配实际电路,微调
,使得两个支路输出电压相等(
)。 -
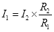
改变接入电路的电容(可以选用多种方式),让电容值发生微小变化,通过开关切换支路分别测得两个支路的电压值,通过电压差值
来粗略判定各支路是否工作正常。 -
根据选用器件自行设计
的变化范围和精度(可以分为粗略变化和精细变化)。自行设计实验数据记录表格,最后绘制
的变化曲线,和(3)中理论曲线作对比分析。 -
分析误差及影响因素,思考改进方法。
-
*扩展实验(选做):*利用自制平行平板电容器(学生自制或者实验室提供以前学生自制),通过在电容器中加入不同的物质来改变电容,再通过测得
来测定加入物质的介电常数。
相关知识及背景(限150字)
双RLC谐振电路通过监测谐振电路中电阻两端的电压变化来检测电容变化(
)的高灵敏度检测,其核心原理基于谐振频率公式
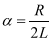
的敏感性,再结合差分测量技术来实现电容变化方向的判定。需要充分了解RLC串联谐振特性及实际应用背景中引起电容变化影响因素和电容传感器的工作过程。
实验环境条件
交流电源(或信号源),面包板,交流电压表(或示波器),R(不同阻值),C(不同电容),L(不同电感),信号线,杜邦线若干。
教学目标与目的(限150字)
本实验教学目标如图2所示,通过双RLC谐振电路测量电容变化,让学生充分掌握RLC电路的谐振原理,并熟练使用信号发生器、示波器等仪器进行数据采集与分析。通过测量电容变化对谐振频率或幅频曲线的影响,学生能理解电容测量的实际应用,同时培养实验操作、误差分析、问题解决能力和团队协作能力。

图2 双RLC谐振电路实验教学目标
教学设计与实施进程

图3 教学设计过程
本实验的教学设计过程和设计思路如图3所示,以“应用—理论—实验—应用”为主线,实施过程分为五个环节:
-
应用引入—以实际工业生产过程为背景,结合视频来讲解电容测量的需求,包括电容绝对值的测量及电容变化量的测量。通过多种方法优缺点的比较,来引出用谐振电路法测量电容的特点,充分调动学生参与的积极性。
-
理论铺垫—从单RLC谐振公式
切入,结合仿真(Multisum和simulink等仿真软件)和前序实验展示电容变化对谐振曲线的影响;分析单谐振电路的缺点,结合大学物理中光学内容和本专业知识应用,引入了双RLC谐振电路,并比较两种方法的特点(可以提高灵敏度且可以判断方向)。 -
硬件搭建—学生分组继续利用仿真计算双谐振电路的工作频率
(非谐振频率)和满足测量条件的两个支路的R、L、C的值。同时在面包板上搭建好测量电路。 -
实验操作—微调工作频率
,使得两支路输出电压相等;通过多种方式(串并联电容、可调电容)等多种方式改变电容值,从而得到
。 -
误差分析—将实际测量的
和仿真计算的曲线做比较,分析误差原因和改进方法。 -
工程延伸—利用自制平行平板电容器(可以在电容内部加入物质),来测定加入物质的介电常数。(选做实验内容)
实验原理及方案
- 实验原理-单RLC串联谐振→双RLC谐振
图4 单RLC串联谐振
:交流信号源,
:电阻,
:电感,
:电容,电路发生谐振时的谐振频率
,此时电流
,电阻
输出交流信号的电压为
,其特征频率曲线如图4(b)所示(前序实验已经实现不再赘述)。
图5 双RLC谐振电路
在双RLC谐振电路中,如图5(a)所示:用R、L、C组合成两个不同的工作支路,交流信号源
相同,且工作在相同频率。采用同一个电容
,不同的电感
和
,输出电阻
和
可以设置为相同,也可以不同。电容
通过切换开关
和
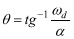
分时分别工作在不同的支路中,分别形成两个RLC串联谐振电路。选择合适的R、L、C参数,可以让频率曲线工作在相邻(有交叉区域)的位置,如图5(b)所示。用曲线①和曲线②分别表示支路1和支路2的特征频率曲线,其谐振频率分别是
和
,两条曲线交叉点的频率为
。由图5(b)可知,当交流信号源的频率工作在
时(非电路①和电路②的谐振频率),其输出电阻
和
两端交流信号的电压值相等,此时即为双谐振结构电路的平衡工作点。此时交流信号源
的工作频率
不变,当电容
发生变化为
时,必然导致电路①和电路②的特征频率曲线会发生移动,如图6所示:电路①由于
更接近谐振频率,输出电阻
两端电压会增加,电路②由于
更远离谐振频率输出电阻
两端电压会减小。通过
就可以反推出电容的变化
,反之同理。
图6 电容变化后谐振曲线变化示意图
- 实现方案

图7 实现方案
实现方案如图7所示:(1)课前进行模拟仿真计算得到频率特征曲线(任意主流的仿真软件都可以选择),注意在不同的R、L、C的条件下,其频率特性曲线的变化情况。考虑到后续实际测量情况是电容
在变化,需特别注意在相同的R和L,不同的电容值C下,频率曲线的在频率轴上的移动状态。(2)在符合双谐振工作状态下(特定RCL),选定工作频率
,模拟仿真计算得到
的变化曲线。(3)选用面包板搭建实验电路(参照模拟反正电路和参数),可调交流信号源作为输入端,数字示波器作为输出端,检查实际电路的可靠性连接(输入和输出都为正弦信号)。(4)微调仿真计算工作频率,判断条件
。(5)通过多种方式改变
,得到不同的
,并记录。(6)实验
和仿真计算作比较,分析其误差影响因素,讨论改进措施。(7)自制平行平板电容器测量物质介电常数实验。
实验报告要求
实验报告以电子报告形式提交,实验原理可以不再重复,主要包含以下内容:
-
仿真电路以及仿真结果(不限定仿真软件)-满足双RLC谐振电路工作要求。
-
根据仿真结果选定各自小组的R、L、C、
和
,列出表格记录。 -
面包板搭建的实际电路图片,并在图片上标注双支路环路。
-
实验操作过程和实验数据记录(实验操作过程可以是视频,数据记录自行设计表格)。
-
实验结果分析-实验曲线和理论曲线比较,误差分析,改进思路。
备注:实验报告中需包含电路图、示波器截图、实物电路图片、原始数据记录等附件,鼓励视频讲解。
考核要求与方法(限300字)
为了全面评估学生对双RLC谐振电路的理解和实践能力,同时也为了充分体现过程考核,考核分为理论基础、实验操作和实验结果三部分。
| 考核内容及权重 | ||
|---|---|---|
| 考核模块 | 权重 | 考核要点 |
| 理论基础 | 30% | 谐振条件计算,频率特性,模拟仿真 |
| 实验操作 | 30% | 电路搭建,仪器使用,数据测量规范 |
| 实验结果 | 40% | 数据记录,误差分析,结论逻辑性,报告完整性 |
| 另:鼓励视频讲解实验过程提交,有视频小组在总评成绩上+1~5分 | ||
项目特色或创新(可空缺,限150字)
项目特色:将光学中利用频率检测的双边缘检测(多普勒频率)思想引入到基础电路分析课程中的谐振电路实验中来,既巩固了大学物理中的光学相干知识,又能够让学生充分理解RLC谐振电路特性,同时也为将来学习物理光学专业知识做了铺垫,完全契合光电信息科学与工程专业的培养目标。
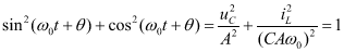
附录:














:交流信号源,
:电阻,
:电感,
,电阻
和
,输出电阻
和
可以设置为相同,也可以不同。电容
和
分时分别工作在不同的支路中,分别形成两个RLC串联谐振电路。选择合适的R、L、C参数,可以让频率曲线工作在相邻(有交叉区域)的位置,如图5(b)所示。用曲线①和曲线②分别表示支路1和支路2的特征频率曲线,其谐振频率分别是
和
,两条曲线交叉点的频率为
时,必然导致电路①和电路②的特征频率曲线会发生移动,如图6所示:电路①由于
两端电压会减小。通过
就可以反推出电容的变化